MOTV

研究进展

    研究进展

    当前您的位置: 主页 > 研究进展 > 正文

    2024年学术进展系列之73:MOTV 硕士研究生庹江川与导师在伽马暴偏振方面研究获得进展

    日期: 2024-11-20 浏览次数:

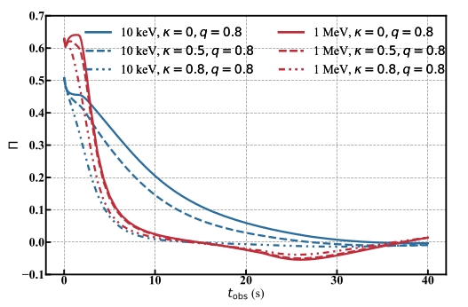
    伽马射线暴(GRB)作为宇宙中最剧烈的爆炸事件之一,通常伴随着极高的亮度和复杂的电磁辐射,偏振观测为理解其物理机制提供了关键线索。GRB的偏振度观测揭示喷流磁场结构的重要信息,而随机磁场的存在使得偏振特性更加复杂。

    论文采用了ICMART模型所描述的情况进行计算,同时将磁场分为有序和随机成分。研究中的偏振度计算基于同步加速辐射理论,通过模拟随机磁场和观测角度的变化来获得相应的偏振度。研究中考虑了多种可能的磁场分布,包括完全有序的磁场、部分随机的磁场,以及完全随机的磁场。结果显示,随机磁场的存在会显著降低偏振度。完全有序的磁场可以产生较高的偏振度,而增加随机成分则会逐渐降低这一数值。同时随机磁场成分逐渐上升会导致低能X射线的偏振发生显著变化,这种变化可以依靠POLAR2中的LPDHPD进行区分,GRB中的一个脉冲分为前后两段,我们预计当无序磁场的成分增长较慢的情况下,LPD在前半段的偏振度会比HPD要低,后半段LPD探测偏振度要高一些。当无序磁场的成分增长很快,LPDHPD将会看见相似偏振结果。相关成果已在《The Astrophysical Journal杂志发表。

    1、环形磁场下有序磁场与无序磁场比值ξB在不同衰减指数κ下的偏振变化曲线图

    2、平行磁场下有序磁场与无序磁场比值ξB在不同衰减指数κ下的偏振变化曲线图。

     

    论文作者:庹江川(硕士生)、刘宏邦(唯一通讯)、麦倩男(硕士生)、钟倩(硕士生)、冯祖科(博士生)、程康法(广西民族大学)、梁恩维

    论文链接://iopscience.iop.org/article/10.3847/1538-4357/ad6a52

     


     

    联系地址:广西区南宁市大学东路100号

    联系电话:0771-3237386

    邮 编 :530004

    关注我们

    版权所有:MOTV-MOTV官方网|MOTV成人电影与午夜直播