近日,MOTV
天体物理林达斌团队在伽马射线暴喷流与茧相互作用的研究论文在《The Astrophysical Journal》上发表。
双致密星并合或大质量恒星坍塌,会形成大量抛射物,并可能驱动产生伽马射线暴(简称伽马暴)的相对论性喷流。当喷流由爆发中心沿极轴方向运动时,会冲击并加热之前的抛射物,形成一个包裹喷流的茧。茧形成后往外膨胀,其经过一定时间后可能包围喷流辐射区并对喷流辐射产生影响。为了研究茧对喷流辐射的影响,我们考虑了存在长时标活动喷流和茧的系统(见图1),并取喷流功率
随时间
的演化为
,其中
和
分别为特征时标和衰减指数。
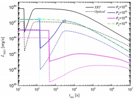
研究发现:当喷流的辐射区恰好被茧包围时,喷流电子的同步辐射会被显著抑制,针对茧辐射光子的外逆康普顿辐射主导喷流辐射,主要辐射集中在GeV-TeV能区;随着茧的演化,喷流的外逆康普顿辐射减弱,喷流电子的同步辐射逐渐回归主导地位。伴随于此,喷流低能段的辐射会在茧刚包围辐射区时出现陡降,尔后,缓慢回归到
的变化趋势,伴随其中有极强的GeV-TeV辐射(见图2左)。根据此类光变特征,人们可以用于探测伽马暴的甚高能辐射,同时也可据此光变特征来解释伽马暴余辉中所观测到的内平台成分(见图2右)。
图1:伽玛暴喷流与茧的辐射模型示意图

图2:在茧影响下喷流辐射的光变曲线(左)和GRB 070110内部平台的急剧衰减的示意图(右)
[注]该工作得到了国家自然科学基金(基金号:12273005、11773007)、广西自然科学基金(基金号:2018GXNSFFA281010和2016GXNSFDA380027)和CSST对重要突发天体事件的响应研究(CMS-CSST-2021-B11)的支持。
论文标题:Sharp Decay of the Internal Plateau in Gamma-Ray Bursts: The Effect of a Cocoon’s Thermal Photons on the Jet Emission
论文作者:李宇飞(硕)、林达斌(通讯作者)、任佳(博)、李晓燕(博)、李国鹏(博)、梁恩维