MOTV

研究进展

    研究进展

    当前您的位置: 主页 > 研究进展 > 正文

    2023年学术进展系列之05:MOTV 硕士研究生郭柳均及导师等在几何相位量子门的量子调控取得重要进展

    日期: 2023-01-06 浏览次数:

    近期MOTV 量子信息与量子通信团队在基于几何相位的量子门量子调控取得重要进展,以“硅自旋量子比特中非绝热几何量子门的失谐误差优化”Optimizing nonadiabatic geometric quantum gates against off-resonance error in a silicon-based spin qubit)为题被Nature Index期刊《Physical Review A》杂志接收发表。

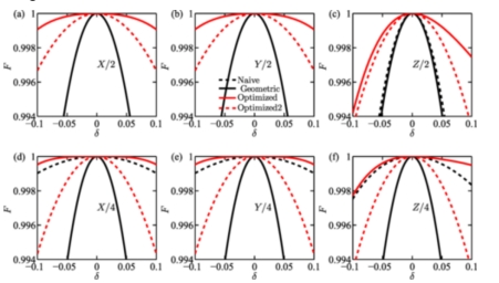
    量子相位可以分为动力学相位与几何相位和两种,在量子信息和量子计算中具有举足轻重的地位。一般而言,动力学相位可以比较方便地构建量子门操作,然而其演化过程与系统的能量直接相关,因而容易受到周围环境噪声的影响,从而导致量子门操作的误差。与动力学相位不同,几何量子相位具有整体性质,对系统哈密顿量的控制误差有较好的鲁棒性,被广泛认为是实现容错量子计算的有力工具。

    另一方面,基于纯几何相位的量子门在具体应用过程中还有一定的局限性。例如,在硅自旋、超导量子线路等由微波场驱动的主流量子控制系统中,系统主要误差来源为能级漂移造成的非共振效应,即,失谐误差。一般而言,几何相位量子门对于此种类型的误差无能为力。针对此问题,研究团队提出了一种利用几何相位演化路径的优化设计并结合动力学修正技术的优化调控方案。理论计算结果表明,相较于动力学量子门及原始几何量子门,设计的优化几何量子门对失谐误差具有更好的鲁棒性。进一步,在实验噪声环境下的数值模拟结果也显示了其平均门操作保真度超过了99%。团队的研究结果为实现具有容错的几何量子计算打下了坚实基础。

     

     

    论文作者:郭柳均(硕士生),徐海(硕士生),方梓宇(硕士生),陈涛(香港大学),韦克金,张程贤(通讯作者)。

    论文链接://doi.org/10.1103/PhysRevA.107.012604

     

    联系地址:广西区南宁市大学东路100号

    联系电话:0771-3237386

    邮 编 :530004

    关注我们

    版权所有:MOTV-MOTV官方网|MOTV成人电影与午夜直播